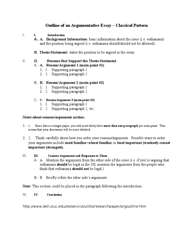
How To Write An Argumentative Essay Outline? An argumentative essay follows the same structure as any other type of essay. The only difference is, it has an additional paragraph that states the opposing arguments and their refuting reasons. There are three types of argument models used to outline an argumentative essay: Classical, Toulmin, and Rogerian Classic Model for an Argument No one structure fits all written arguments. However, most college courses require arguments that consist of the following elements. Below is a basic outline for an argumentative or persuasive essay. This is only one possible outline or organization. Always refer to your handbook for specifics. I. Introductory ParagraphFile Size: 57KB Classical Argument In Classical Argument, you are supporting a position based on reasoned arguments. This means positions are supported rather than being merely assertions. In other words, you choose a side and use a number of claims, each supported with evidence, to prove your side is blogger.com Size: 84KB
Simple Argumentative Essay Outline | Template & Worksheet
Home Blog The Ultimate Guide to Argumentative Essay Writing Argumentative Essay Outline: How to Structure Your Argumentative Essay. Having a defined outline makes the essay writing process much simpler. It helps you logically present your ideas and saves you from getting stuck with writer's block. If classical argument essay outline follow the basic guidelines for writing an argumentative essayyou classical argument essay outline easily craft a perfect essay.
In this article, we are going to provide you with a ready-made structure for your essay. All you need to do is fill out the sections with information and ideas relevant to your topic. An argumentative essay follows the same structure as any other type of essay.
The only difference is, it has an additional paragraph that states the opposing arguments and their refuting reasons. There are three types of argument models used to outline an argumentative essay: Classical, Toulmin, and Rogerian. The introduction paragraph introduces the main argument and provides a brief background of the argumentative essay topic you chose. Essay introductions act as a roadmap for the entire essay. For an argumentative essay, this is where you lay the foundation for your argument.
A hook statement is written to grab the attention of your reader immediately. It should intrigue the reader and make them read the complete essay. For example, if you are writing an argumentative essay on animal testing, your hook statement could be:. Provide brief background information about your argument and the main claim of your essay. It will make it easier for the reader to understand the argument you will make in your essay. And, the diabetes patients would have died from the disease. An argumentative essay thesis statement should highlight your perspective, stance, and reason for your position.
A thesis statement must be clearly defined, arguable, and defendable. It should express the importance of your argument and a reason why the reader should read your essay. In the body paragraph, you present your point of view and provide evidence that supports your argument. The goal here is to explain how valid your claim is by providing evidence that strengthens your argument.
monkeys or rabbits. The counter-argument is the other side of the issue that you will prove wrong by stating the specific reasons.
In this paragraph, you mention the opposing argument s that the reader might pose against your argument and refute them. Conclude this paragraph by reasserting the central idea of your essay. Counter argument: "Many people believe that animal testing is cruel. They argue that medical techniques and drugs should not be tested on animals. Refuting reason: "However, it is much crueler to test new drugs on humans. And, let people die because of not having appropriate information about the drug.
Concluding remarks: "Furthermore, classical argument essay outline, many countries have legislation that sets animal treatment standards, and laboratories follow guidelines to prevent cruelty. A good argumentative essay conclusion summarizes the entire discussion of the essay and provides a call to action. It holds the same significance as the introduction paragraph. Here, you restate your thesis statement to remind the reader of your essay's overall argument, classical argument essay outline.
Tell the reader that you have critically analyzed both sides of the argument. And based on the evidence, you have proved your side of the argument right. Explain the importance of your argument and bring your discussion to the logical end. You can propose a solution if your claim has specified a problem or make future predictions about the claim. Tell your reader the consequence if your argument is not believed and what good will happen if it's believed. However, we need to manage animals with care and try to balance the suffering and the good that comes from them.
Use the following argumentative essay outline graphic organizer to structure your essay efficiently, classical argument essay outline. Here are some sample argumentative essay outline formats you can follow to compose an argumentative essay:. If you are unable to craft a perfect outline, you can always seek the help of an argumentative classical argument essay outline writer. At MyPerfectWords.
comwe can help you create an argumentative essay that will result in an A-grade paper, classical argument essay outline. Our professional essay writers will help you craft an impressive argumentative essay in no time. They will help you understand how to support your claim with facts and evidence, classical argument essay outline.
They are capable of crafting all types of essays, be it an argumentative essay or persuasive essay. Reach out to us today to place your order for an argumentative essay. Argumentative Essay Topics. Argumentative Essay Examples. Types of Argument. Exclusive access to the MyPerfectWords. com Learning Center. You'll get weekly tips and tricks for improving your own writing and for achieving academic success through your writing.
We are U. We hold graduate and professional degrees from major universities Princeton, Stanford, UCLA,Georgetown, Dartmouth, Penn, Northwestern. This is all that we do, classical argument essay outline. Register Login. Register Login Writers Samples Pricing Order FAQS Why Us Reviews Blog. Paper Due? That's Our Job! Learn More. Argumentative Essay Outline: How to Structure Your Argumentative Essay. Contents How To Write An Argumentative Essay Outline?
Argumentative Essay Outline Examples Hire An Experienced Argumentative Essay Writer. For example, if you are writing an argumentative essay on animal testing, your hook statement could be: "Medical researches that involve animals for testing drugs have significantly improved human health.
An example of a claim could be: "Animal testing allows scientists to test and create new drugs. See an example below: Counter argument: "Many people believe that animal testing is cruel.
Here is an example: "Animal testing is the need of the hour. Why suffer? Click here to learn more. Was this helpful? How can we improve it? The Ultimate Guide to Argumentative Essay Writing. Get Weekly Updates. Who are we? Why Suffer? That's Our Job.
Document Type Admission Essay Analytical Essay Annotated Bibliography Application Letter Argumentative Essay Classical argument essay outline Assignment Biography Book Reports Book Reviews Brief Overview Business Plan Case Study College Paper Contrast Essay Coursework Cover Letter Creative Writing Critical analysis Critical Thinking Dissertation eBooks Essay Exposition Writing Homework Lab Report Literature Review Movie Review News Release Online assignment Personal Statement Powerpoint Presentation with speaker notes Powerpoint Presentation without speaker notes Quiz Reflection paper Reflective Essay Report Research Essay Research Paper Research proposal Response Essay Response paper Scholarship Essay School Paper Speech Term Paper Thesis Thesis Proposal Other.
Academic Level High school College- undergraduate Master Doctoral. WE ACCEPT. Already have account? Log In. No account? Create classical argument essay outline account Forgot Classical argument essay outline Create an account Login. SEND ME PROMO CODE. Thank you for subscribing to us!
Enjoy our weekly updates to ensure better grades. Subscribe Now for Weekly Updates!
How to Create a Clearly Structured Essay Outline - Scribbr
, time: 3:54
· Outline of a classical argument essay II It also asks for facts or figures to support your argument. Focus When you’re crafting an argument, it can be easy to get distracted by all the information and complications in your argument As a hot-button issue, abortion is a subject rife with potential for argumentative essay writing Classic Model for an Argument No one structure fits all written arguments. However, most college courses require arguments that consist of the following elements. Below is a basic outline for an argumentative or persuasive essay. This is only one possible outline or organization. Always refer to your handbook for specifics. I. Introductory ParagraphFile Size: 57KB How To Write An Argumentative Essay Outline? An argumentative essay follows the same structure as any other type of essay. The only difference is, it has an additional paragraph that states the opposing arguments and their refuting reasons. There are three types of argument models used to outline an argumentative essay: Classical, Toulmin, and Rogerian
No comments:
Post a Comment